Branżowy Portal Internetowy
Zobacz katalog firm
Strona główna
Kategorie
Porady
Systemy i instalacje
Ogrzewanie domu
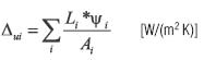
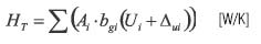
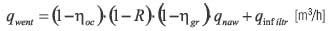
Metodyka obliczeń zapotrzebowania na energię dla celów grzewczych - Tomasz Steidl - Energia i Budynek
Metodyka obliczeń zapotrzebowania na energię dla celów grzewczych - Tomasz Steidl - Energia i Budynek