Branżowy Portal Internetowy
Zobacz katalog firm
Strona główna
Kategorie
Artykuły
Budownictwo pasywne i energooszczędne
Audyty i certyfikacja energetyczna
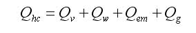
Przygotowana metodyka - Algorytmy obliczeń charakterystyk energetycznych budynków
Przygotowana metodyka - Algorytmy obliczeń charakterystyk energetycznych budynków